Что делать со степенями при сложении и вычитании числа?
Если , то (правило извлечения корня из дроби).
3. Если , то (правило извлечения корня из корня).
4. Если , то (правило возведения корня в степень).
5. Если , то , где , т. е. показатель корня и показатель подкоренного выражения можно умножить на одно и то же число.
6. Если , то , т. е. большему положительному подкоренному выражению соответствует и большее значение корня.
7. Все указанные выше формулы часто применяются в обратном порядке (т. е. справа налево). Например:
(правило умножения корней),
(правило деления корней),
.
8. Правило вынесения множителя из-под знака корня. При .
9. Обратная задача — внесение множителя под знак корня. Например,
10. Уничтожение иррациональности в знаменателе дроби. Рассмотрим некоторые типичные случаи.
а) , так как .
Например, .
б)
Например,
в)
и т. д.
11. Применение тождеств сокращённого умножения к действиям с арифметическими корнями:
1) ;
2) ;
3)
К началу страницы
Другие темы в блоке «Школьная математика»
Действия с дробями
Решение квадратных уравнений
Решение дробных уравнений с преобразованием в квадратное уравнение
![]()
НАЧАЛЬНЫЙ УРОВЕНЬ
Возведение в степень — это такая же математическая операция, как сложение, вычитание, умножение или деление.
Сейчас объясню все человеческим языком на очень простых примерах. Будь внимателен. Примеры элементарные, но объясняющий важные вещи.
Начнем со сложения.
Объяснять тут нечего. Ты и так все знаешь: нас восемь человек. У каждого по две бутылки колы. Сколько всего колы? Правильно — 16 бутылок.
Теперь умножение.
Тот же самый пример с колой можно записать по-другому: . Математики — люди хитрые и ленивые. Они сначала замечают какие-то закономерности, а потом придумывают способ как быстрее их «считать». В нашем случае они заметили, что у каждого из восьми человек одинаковое количество бутылок колы и придумали прием, который называется умножением. Согласись, считается легче и быстрее, чем.
Итак, чтобы считать быстрее, легче и без ошибок, нужно всего лишь запомнить таблицу умножения
. Ты, конечно, можешь делать все медленнее, труднее и с ошибками! Но…
Вот таблица умножения. Повторяй.
И другой, красивее:
Действия со степенями: правила вычисления степеней с разными основаниями или натуральными показателями по математике и порядок этого

Одной из главных характеристик в алгебре, да и во всей математике является степень. Конечно, в 21 веке все расчеты можно проводить на онлайн-калькуляторе, но лучше для развития мозгов научиться делать это самому.
В данной статье рассмотрим самые важные вопросы, касающиеся этого определения. А именно, поймем что это вообще такое и каковы основные его функции, какие имеются свойства в математике.
Рассмотрим на примерах то, как выглядит расчет, каковы основные формулы. Разберем основные виды величины и то, чем они отличаются от других функций.
Поймем, как решать с помощью этой величины различные задачи. Покажем на примерах, как возводить в нулевую степень, иррациональную, отрицательную и др.
Что такое степень числа
Что же подразумевают под выражением «возвести число в степень»?
Степенью n числа а является произведение множителей величиной а n-раз подряд.
Математически это выглядит следующим образом: an = a * a * a * …an.
Причем, левая часть уравнения будет читаться, как a в степ. n.
Например:
- 23 = 2 в третьей степ. = 2 * 2 * 2 = 8,
- 42 = 4 в степ. два = 4 * 4 = 16,
- 54 = 5 в степ. четыре = 5 * 5 * 5 * 5 = 625,
- 105 = 10 в 5 степ. = 10 * 10 * 10 * 10 * 10 = 100000,
- 104 = 10 в 4 степ. = 10 * 10 * 10 * 10 = 10000.
Ниже будет представлена таблица квадратов и кубов от 1 до 10.
Таблица степеней от 1 до 10
Ниже будут приведены результаты возведения натуральных чисел в положительные степени – «от 1 до 100».
| Ч-ло | 2-ая ст-нь | 3-я ст-нь |
| 1 | 1 | 1 |
| 2 | 4 | 8 |
| 3 | 9 | 27 |
| 4 | 16 | 64 |
| 5 | 25 | 125 |
| 6 | 36 | 216 |
| 7 | 49 | 343 |
| 8 | 64 | 512 |
| 9 | 81 | 279 |
| 10 | 100 | 1000 |
Свойства степеней
Что же характерно для такой математической функции? Рассмотрим базовые свойства.
Учеными установлено следующие признаки, характерные для всех степеней:
- an * am = (a)(n+m),
- an : am = (a)(n-m),
- (ab ) m=(a)(b*m).
Проверим на примерах:
23 * 22 = 8 * 4 = 32. С другой стороны 25 = 2 * 2 * 2 * 2 * 2 =32.
Аналогично:
- 23 : 22 = 8 / 4 =2. Иначе 23-2 = 21 =2.
- (23)2 = 82 = 64. А если по-другому? 26 = 2 * 2 * 2 * 2 * 2 * 2 = 32 * 2 = 64.
Как видим, правила работают.
А как же быть со сложением и вычитанием? Всё просто. Выполняется сначала возведение в степень, а уж потом сложение и вычитание.
Посмотрим на примерах:
33 + 24 = 27 + 16 = 43,
52 – 32 = 25 – 9 = 16
Обратите внимание: правило не будет выполняться, если сначала произвести вычитание: (5 3)2 = 22 = 4.
А вот в этом случае надо вычислять сначала сложение, поскольку присутствуют действия в скобках: (5 + 3)3 = 83 = 512.. Как производить вычисления в более сложных случаях? Порядок тот же:
Как производить вычисления в более сложных случаях? Порядок тот же:
- при наличии скобок – начинать нужно с них,
- затем возведение в степень,
- потом выполнять действия умножения, деления,
- после сложение, вычитание.
Есть специфические свойства, характерные не для всех степеней:
- Корень n-ой степени из числа a в степени m запишется в виде: am/n.
- При возведении дроби в степень: этой процедуре подвержены как числитель, так и ее знаменатель.
- При возведении произведения разных чисел в степень, выражение будет соответствовать произведению этих чисел в заданной степени. То есть: (a * b)n = an * bn.
- При возведении числа в отрицательную степ., нужно разделить 1 на число в той же ст-ни, но со знаком «+».
- Если знаменатель дроби находится в отрицательной степени, то это выражение будет равно произведению числителя на знаменатель в положительной степени.
- Любое число в степени 0 = 1, а в степ. 1 = самому себе.
Степень с отрицательным показателем
Что делать при минусовой степени, т. е. когда показатель отрицательный?
Исходя из свойств 4 и 5 (смотри пункт выше), получается:
A(-n) = 1 / An, 5(-2) = 1 / 52 = 1 / 25.
И наоборот:
1 / A(-n) = An, 1 / 2(-3) = 23 = 8.
А если дробь?
(A / B)(-n) = (B / A)n, (3 / 5)(-2) = (5 / 3)2 = 25 / 9.
Степень с натуральным показателем
Под ней понимают степень с показателями, равными целым числам.
Что нужно запомнить:
- A0 = 1, 10 = 1, 20 = 1, 3.150 = 1, (-4)0 = 1… и т. д.
- A1 = A, 11 = 1, 21 = 2, 31 = 3 … и т. д.
Кроме того, если (-a)2n+2, n=0, 1, 2…то результат будет со знаком «+». Если отрицательное число возводится в нечетную степень, то наоборот. Общие свойства, да и все специфические признаки, описанные выше, также характерны для них.
Что делать со степенями при сложении и вычитании числа?
Не знаю удачный ли пример,но что тут надо делать?При умножении и делении надо степени вычитать и складывать,а тут что?
В общем случае с этим ничего не сделать, в вашем конкретном примере можно 4 представить как 2 во 2-й степени. Получится (2^2)^5. Далее, т.к. при возведении степени в степень показатели степеней перемножаются, получаем 2^3 x 2^10 = 2^13 = 8192.
Т.е. числа нужно приводить ко одинаковому основанию или показателю степени. Тут 2 правила:
У вас не сложение , или вычитание , а умножение. И это очень меняет дело*
В данном примере нужно привести 4 к степени двойки : 4 =2^(2) , тогда
2^(3) * 4^(5) = 2^(3) * ^5 = 2^(3 * 2^(10) = 2 ^ (3+10) = 2 ^ (13) или 2 в 13 степени.
Если бы был пример на сложение ,то есть :
2 ^ (3) + 4 ^ (5) = ^ 2 ^ 5 = 2 ^ (3) + 2 ^( 10)= 2 ^(3) *.
И это совсем другой результат.А правила действий со степенями такие :
a^ (m )+ a ^( n) = a ^(m) *[a ^(m-n)+1>
Вот это правило очень важное,потому что когда степени стоят как слагаемые,то их нельзя иначе преобразовать,как только вынести общий множитель за скобки
(^n= a ^ (m*n)
Если в выражении присутствует возведение в степень, то алгоритм действий различается для умножения/деления и для сложения/вычитания.
Начнём с самого простого — умножение и деление степеней с одинаковым основанием.
1) Умножение — основание остаётся тем же, а показатели степени складываем.
2) Деление — основание оставляем, а из показателя степени делимого вычитаем показатель степени делителя.
В этой ситуации затруднений вообще быть не должно.
При умножении и делении степеней с разными основаниями порядок алгоритм такой — приводим их к одному основанию (если это можно сделать), а затем выполняем действия по вышеприведённым правилам.
![]()
Если основания разные, но при этом показатель степени один и тот же, то нужно перемножить основания и возвести их в степень.
![]()
Другое дело, если требуется сложить или вычесть степени.
Здесь ситуация разная.
Если показатель степени у чисел один и тот же, то можно воспользоваться формулами сокращённого умножения для суммы и разности степеней.
В некоторых случаях можно попробовать общий множитель выносится за скобки.
![]()
Ну и последний вариант (если первые два способа не применимы) — возводим каждое число в степень и складываем/вычитаем.
В вашем примере 2^3•4^5 нужно найти произведение степеней с разными основаниями. Потребуется несколько действий совершить:
- Если привести к одному основанию, то действо со степенями упрощаются. Основание в нашем случае — 2 и 4, т.е. те числа, что возводим в разные степени. Здесь тот счастливый случай, когда реально привести к единому основанию. 4- это 2 в квадрате.
- Теперь это 2^2 нужно возвести в 5 степень, по общему правилу, перемножаем значения 2 и 5. Выглядит это правило так (a^b)^c= a^bc.
- 2^3•2^10, теперь по правилу действия со степенями, оставляем общее основание, а 3 и 10 складываем. Тут применяется формула a^b•a^c=a^(b+c).
- 2^13= 8192.
Со сложением чисел в одной степени, как и с вычитанием, занимаемся расчетами на калькуляторе или в столбик на бумажке. Хотя есть возможность использовать известные из школьной алгебры формулы сокращенного умножения для вычитания квадратов, для сложения или вычитания кубов. Так можно хоть от степеней избавиться или понизить их.
a^2-b^2=(a-b)•(a+b) — так упрощаем разность квадратных чисел.
a^3-a^3 = (a+b)•(a^2-ab+b^2)или a^3+b^3=(a-b)•(a^2+ab+b^2) и с неудобными третьими степенями можно распрощаться.
Показательные уравнения и неравенства
Особое место свойства степени занимают именно в показательных уравнениях и неравенствах. Эти задания очень часто встречаются, как в школьном курсе, так и на экзаменах. Все они решаются за счет применения свойств степени. Неизвестное всегда находится в самой степени, поэтому зная все свойства, решить такое уравнение или неравенство не составит труда.
Начальный уровень
Степень и ее свойства. Исчерпывающий гид (2019)
Зачем нужны степени? Где они тебе пригодятся? Почему тебе нужно тратить время на их изучение?
Чтобы узнать все о степенях, о том для чего они нужны, как использовать свои знания в повседневной жизни читай эту статью.
И, конечно же, знание степеней приблизит тебя к успешной сдаче ОГЭ или ЕГЭ и к поступлению в ВУЗ твоей мечты.
Let»s go… (Поехали!)
Важное замечание! Если вместо формул ты видишь абракадабру, почисти кэш. Для этого нужно нажать CTRL+F5 (на Windows) или Cmd+R
(на Mac).
Степень суммы
Группа формул «Степень суммы» составляет Таблицу 1. Эти формулы можно получить, выполняя вычисления в следующем порядке:
| (x + y) 2 = (x + y)(x + y) ,(x + y) 3 = (x + y) 2 (x + y) ,(x + y) 4 = (x + y) 3 (x + y) |
Группу формул «Степень суммы» можно получить также с помощью треугольника Паскаля и с помощью бинома Ньютона, которым посвящены специальные разделы нашего справочника.
Таблица 1. – Степень суммы
| Название формулы | Формула |
| Квадрат (вторая степень)суммы | (x + y) 2 = x 2 + 2xy + y 2 |
| Куб (третья степень) суммы | (x + y) 3 = x 3 + 3x 2 y + 3xy 2 + y 3 |
| Четвертая степень суммы | (x + y) 4 = x 4 + 4x 3 y + 6x 2 y 2 + 4xy 3 + y 4 |
| Пятая степень суммы | (x + y) 5 = x 5 + 5x 4 y + 10x 3 y 2 + 10x 2 y 3 + 5xy 4 + y 5 |
| Шестая степень суммы | (x + y) 6 = x 6 + 6x 5 y + 15x 4 y 2 + 20x 3 y 3 + 15x 2 y 4 + 6xy 5 + y 6 |
| … | … |
Квадрат (вторая степень) суммы
Куб (третья степень) суммы
Четвертая степень суммы
Пятая степень суммы
Шестая степень суммы
…
Общая формула для вычисления суммы
с произвольным натуральным значением n рассматривается в разделе «Бином Ньютона» нашего справочника.
Применение степеней и их свойств
Они активно применяются в алгебре и геометрии
Степени в математике имеют отдельное, важное место. С их помощью решаются показательные уравнения и неравенства, а так же степенями часто усложняют уравнения и примеры, относящиеся к другим разделам математики
Степени помогают избежать больших и долгих расчетов, степени легче сокращать и вычислять. Но для работы с большими степенями, либо со степенями больших чисел, нужно знать не только свойства степени, а грамотно работать и с основаниями, уметь их разложить, чтобы облегчить себе задачу. Для удобства следует знать еще и значение чисел, возведенных в степень. Это сократит ваше время при решении, исключив необходимость долгих вычислений.
Особую роль понятие степени играет в логарифмах. Так как логарифм, по сути своей, и есть степень числа.
Формулы сокращенного умножения — еще один пример использования степеней. В них нельзя применять свойства степеней, они раскладываются по особым правилам, но в каждой формуле сокращенного умножения неизменно присутствуют степени.
Так же степени активно используются в физике и информатике. Все переводы в систему СИ производятся с помощью степеней, а в дальнейшем при решении задач применяются свойства степени. В информатике активно используются степени двойки, для удобства счета и упрощения восприятия чисел. Дальнейшие расчеты по переводам единиц измерения или же расчеты задач, так же, как и в физике, происходят с использованием свойств степени.
Еще степени очень полезны в астрономии, там редко можно встретить применение свойств степени, но сами степени активно используются для сокращения записи различных величин и расстояний.
Степени применяют и в обычной жизни, при расчетах площадей, объемов, расстояний.
С помощью степеней записывают очень большие и очень маленькие величины в любых сферах науки.
Степень с иррациональным и действительным показателем
Понятно, что множество действительных чисел можно рассматривать как объединение множеств рациональных и иррациональных числовых значений. Поэтому степень с действительным показателем принято считать определенным значением, когда определяются степень с рациональным показателем и степень с иррациональным показателем. Про степень с рациональным показателем было подробно рассмотрено в предыдущем пункте, осталось лишь разобраться подробнее со степенью с иррациональным показателем.
Определение
Иррациональное число — это число, которое, в первую очередь не может быть представлено в виде обыкновенной дроби, а только в виде бесконечной дроби.
Основные свойства иррациональных чисел:
— сумма из двух положительных иррациональных чисел может равняться рациональным числом.
— множество иррациональных чисел встречаются повсюду на протяжении всей числовой прямой
— между двумя любыми различными рациональными числами имеется иррациональное число.
Свойства иррациональных степеней, как было уже сказано ранее, включают в себя все предыдущие характеристики с других свойств степеней
1. a p ⋅ a q = a p + q;
2. a p : a q = a p – q;
3; ( a ⋅ b ) p = a p ⋅ b p;
4.( a : b ) p = a p : b p;
5. ( a p ) q = a p ⋅ q;
6. a p < a q ap =0 a>0, то a p > aq ap>aq;
7. a p < a q ap =0 a>0, то a p > aq ap>aq.
Таким образом, все степени, показатели которых pp и qq являются действительными числами, при условии
a > 0 a>0 обладают теми же свойствами.
Для определения степени с иррациональным показателем, часто конечный результат определяют с точностью до определенного знака.
Для того, чтобы вычислить число в иррациональной степени, нужно его число возвести в дробную степень.
zzn
Более точный результат мы получим, при наиболее приближенном значении.
Рассмотрим на примере: \
Решение:
— Вычислим значение корня из 3.
\
— Определим приближенное значение до четырех цифр после запятой.
\
— Возведем значение три в степень и получим значение, в виде бесконечной дроби:
\
— Далее необходимо округлить полученное числовое значение до четырех знаков.
\
Иррациональный процесс расчета, метод очень трудоемкий. В основном все вычисления в алгебре строятся таким методом, чтобы избавиться от иррациональности. Он несет в себе неудобства расчета, ведь иррациональность не дает возможность получить точность определения окончательного значения.
Популярные статьи
Функции улыбки
Психология
Типы и виды экономического роста
Экономика
Общие сведения о понятии «сила веса»
Физика
Функции экономической науки
Информатика
Понятие электрического поля
Физика
Сила Лоренца
Физика
Преимущества и недостатки рыночной экономики
Экономика
Правила речевого этикета
Русский язык
Уравнение Майера
Физика
Формула производной от дроби, примеры
Математика
Правила сложения и вычитания одночленов
Наиболее простые действия, которые можно проводить с одночленами – это вычитание и сложение. В общем случае результатом этих действий будет являться многочлен (одночлен возможен в некоторых частных случаях).
Когда мы складываем или вычитаем одночлены, сначала записываем в общепринятой форме соответствующую сумму и разность, после чего упрощаем получившееся выражение. Если есть подобные слагаемые, их нужно привести, скобки – раскрыть. Поясним на примере.
Пример 1
Условие:
выполните сложение одночленов − 3 · x и 2 , 72 · x 3 · y 5 · z .
Решение
Запишем сумму исходных выражений. Добавим скобки и поставим между ними плюс. У нас получится следующее:
(− 3 · x) + (2 , 72 · x 3 · y 5 · z)
Когда мы выполним раскрытие скобок, получится — 3 · x + 2 , 72 · x 3 · y 5 · z . Это многочлен, записанный в стандартной форме, который и будет результатом сложения данных одночленов.
Ответ:
(− 3 · x) + (2 , 72 · x 3 · y 5 · z) = − 3 · x + 2 , 72 · x 3 · y 5 · z .
Если у нас задано три, четыре и больше слагаемых, мы осуществляем это действие точно так же.
Пример 2
Условие:
проведите в правильном порядке указанные действия с многочленами
3 · a 2 — (- 4 · a · c) + a 2 — 7 · a 2 + 4 9 — 2 2 3 · a · c
Решение
Начнем с раскрытия скобок.
3 · a 2 + 4 · a · c + a 2 — 7 · a 2 + 4 9 — 2 2 3 · a · c
Мы видим, что полученное выражение можно упростить путем приведения подобных слагаемых:
3 · a 2 + 4 · a · c + a 2 — 7 · a 2 + 4 9 — 2 2 3 · a · c = = (3 · a 2 + a 2 — 7 · a 2) + 4 · a · c — 2 2 3 · a · c + 4 9 = = — 3 · a 2 + 1 1 3 · a · c + 4 9
У нас получился многочлен, который и будет результатом данного действия.
Ответ:
3 · a 2 — (- 4 · a · c) + a 2 — 7 · a 2 + 4 9 — 2 2 3 · a · c = — 3 · a 2 + 1 1 3 · a · c + 4 9
В принципе, мы можем выполнить сложение и вычитание двух одночленов с некоторыми ограничениями так, чтобы получить в итоге одночлен. Для этого нужно соблюсти некоторые условия, касающиеся слагаемых и вычитаемых одночленов. О том, как это делается, мы расскажем в отдельной статье.
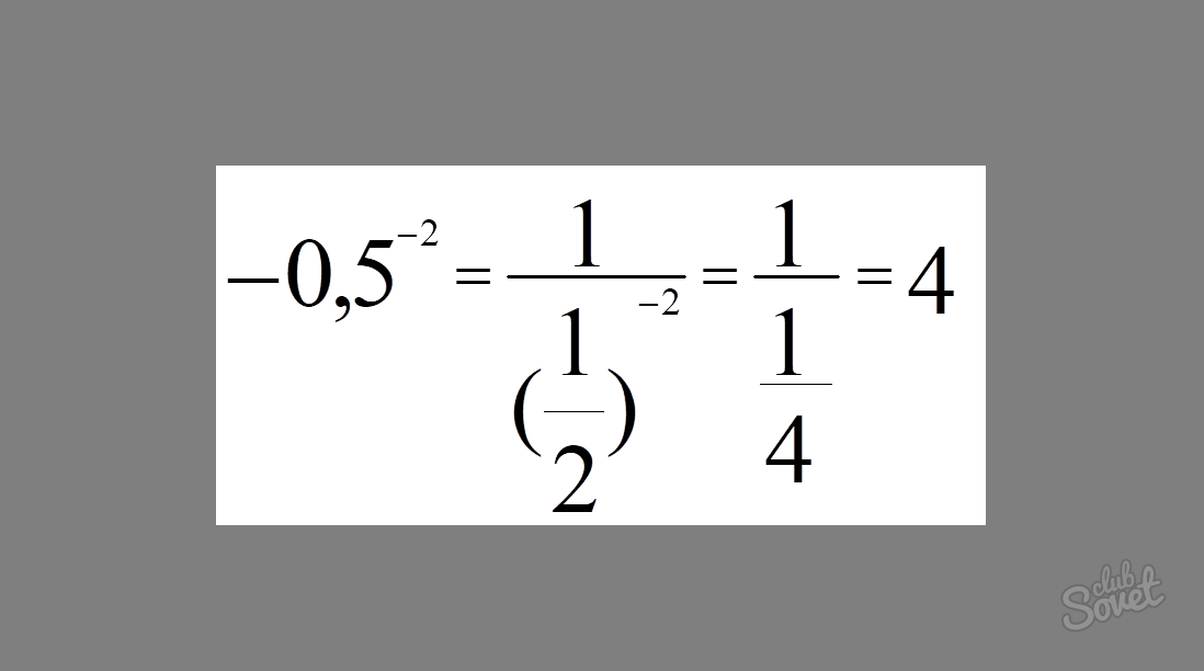
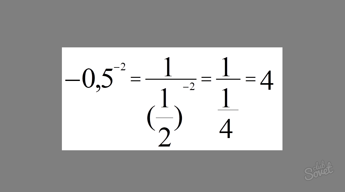
Как возводить в отрицательную степень – числа от 0 до 1
Вспомним, что при возведении числа в промежутке от 0 до 1 в положительную степень, значение уменьшается с возрастанием степени. Так например, 0,5 2 = 0,25. 0,25
Пример 3: Вычислить 0,5 -2
Решение: 0,5 -2 = 1/1/2 -2 = 1/1/4 = 1×4/1 = 4.
Ответ: 0,5 -2 = 4
Разбор (последовательность действий):
Переводим десятичную дробь 0,5 в дробную 1/2. Так легче.
Возводим 1/2 в отрицательную степень. 1/(2) -2 . Делим 1 на 1/(2) 2 , получаем 1/(1/2) 2 => 1/1/4 = 4


Пример 4: Вычислить 0,5 -3
Решение: 0,5 -3 = (1/2) -3 = 1/(1/2) 3 = 1/(1/8) = 8
Пример 5: Вычислить -0,5 -3
Решение: -0,5 -3 = (-1/2) -3 = 1/(-1/2) 3 = 1/(-1/8) = -8
Ответ: -0,5 -3 = -8

Исходя из 4-го и 5-ого примеров, сделаем несколько выводов:
- Для положительного числа в промежутке от 0 до 1 (пример 4), возводимого в отрицательную степень, четность или нечетность степени не важна, значение выражения будет положительным. При этом, чем больше степень, тем больше значение.
- Для отрицательного числа в промежутке от 0 до 1 (пример 5), возводимого в отрицательную степень, четность или нечетность степени неважна, значение выражения будет отрицательным. При этом, чем больше степень, тем меньше значение.

Степень с иррациональным показателем
Пусть α – иррациональное число, а А ˃ 0.
Чтобы понять суть степени с таким показателем, рассмотрим разные возможные случаи:
- А = 1. Результат будет равен 1. Поскольку существует аксиома – 1 во всех степенях равна единице,
- А˃1.
Аr1 ˂ Аα ˂ Аr2, r1 ˂ r2 – рациональные числа,
0˂А˂1.
В этом случае наоборот: Аr2 ˂ Аα ˂ Аr1 при тех же условиях, что и во втором пункте.
Например, показатель степени число π. Оно рациональное.
r1 – в этом случае равно 3,
r2 – будет равно 4.
Тогда, при А = 1, 1π = 1.
А = 2, то 23 ˂ 2π ˂ 24, 8 ˂ 2π ˂ 16.
А = 1/2, то (½)4 ˂ (½)π ˂ (½)3, 1/16 ˂ (½)π ˂ 1/8.
Для таких степеней характерны все математические операции и специфические свойства, описанные выше.
Что такое степень числа
В учебниках по математике можно встретить такое определение:
«Степенью n числа а является произведение множителей величиной а n-раз подряд»
an — степень,
где
a — основание степени
n — показатель степени
Соответственно, an= a·a·a·a…·a
Читается такое выражение, как a в степени n.
Если говорить проще то, степень, а точнее показатель степени (n), говорит нам о том, сколько раз следует умножить данное число (основание степени) на само себя. А значит, если у нас есть задачка, где спрашивают, как возвести число в степень, например число 2, то решается она довольно просто:
23 = 2·2·2, где
2 — основание степени
3 — показатель степени
Действия, конечно, можно выполнять и в онлайн калькуляторе — вот несколько подходящих:
- Раз
- Два
- Три
Сложение, вычитание, умножение, и деление степеней
Очевидно, что числа со степенями могут слагаться, как другие величины , путем их сложения одно за другим со своими знаками.
Так, сумма a 3 и b 2 есть a 3 + b 2 . Сумма a 3 — b n и h 5 -d 4 есть a 3 — b n + h 5 — d 4 .
Коэффициенты одинаковых степеней одинаковых переменных могут слагаться или вычитаться.
Так, сумма 2a 2 и 3a 2 равна 5a 2 .
Это так же очевидно, что если взять два квадрата а, или три квадрата а, или пять квадратов а.
Но степени различных переменных и различные степени одинаковых переменных, должны слагаться их сложением с их знаками.
Так, сумма a 2 и a 3 есть сумма a 2 + a 3 .
Это очевидно, что квадрат числа a, и куб числа a, не равно ни удвоенному квадрату a, но удвоенному кубу a.
Сумма a 3 b n и 3a 5 b 6 есть a 3 b n + 3a 5 b 6 .
Вычитание степеней проводится таким же образом, что и сложение, за исключением того, что знаки вычитаемых должны соответственно быть изменены.
| Из | 2a 4 | 3h 2 b 6 | 5(a — h) 6 |
| Вычитаем | -6a 4 | 4h 2 b 6 | 2(a — h) 6 |
| Результат | 8a 4 | -h 2 b 6 | 3(a — h) 6 |
Или: 2a 4 — (-6a 4 ) = 8a 4 3h 2 b 6 — 4h 2 b 6 = -h 2 b 6 5(a — h) 6 — 2(a — h) 6 = 3(a — h) 6
Умножение степеней
Числа со степенями могут быть умножены, как и другие величины, путем написания их одно за другим, со знаком умножения или без него между ними.
Так, результат умножения a 3 на b 2 равен a 3 b 2 или aaabb.
| Первый множитель | x -3 | 3a 6 y 2 | a 2 b 3 y 2 |
| Второй множитель | a m | -2x | a 3 b 2 y |
| Результат | a m x -3 | -6a 6 xy 2 | a 2 b 3 y 2 a 3 b 2 y |
Или: x -3 ⋅ a m = a m x -3 3a 6 y 2 ⋅ (-2x) = -6a 6 xy 2 a 2 b 3 y 2 ⋅ a 3 b 2 y = a 2 b 3 y 2 a 3 b 2 y
Результат в последнем примере может быть упорядочен путём сложения одинаковых переменных. Выражение примет вид: a 5 b 5 y 3 .
Сравнивая несколько чисел(переменных) со степенями, мы можем увидеть, что если любые два из них умножаются, то результат — это число (переменная) со степенью, равной сумме степеней слагаемых.
Так, a 2 .a 3 = aa.aaa = aaaaa = a 5 .
Здесь 5 — это степень результата умножения, равная 2 + 3, сумме степеней слагаемых.
Так, a n .a m = a m+n .
Для a n , a берётся как множитель столько раз, сколько равна степень n;
И a m , берётся как множитель столько раз, сколько равна степень m;
Поэтому, степени с одинаковыми основами могут быть умножены путём сложения показателей степеней.
Так, a 2 .a 6 = a 2+6 = a 8 . И x 3 .x 2 .x = x 3+2+1 = x 6 .
| Первый множитель | 4a n | b 2 y 3 | (b + h — y) n |
| Второй множитель | 2a n | b 4 y | (b + h — y) |
| Результат | 8a 2n | b 6 y 4 | (b + h — y) n+1 |
Или: 4a n ⋅ 2a n = 8a 2n b 2 y 3 ⋅ b 4 y = b 6 y 4 (b + h — y) n ⋅ (b + h — y) = (b + h — y) n+1
Умножьте (x 3 + x 2 y + xy 2 + y 3 ) ⋅ (x — y). Ответ: x 4 — y 4 . Умножьте (x 3 + x — 5) ⋅ (2x 3 + x + 1).
Это правило справедливо и для чисел, показатели степени которых — отрицательные.
1. Так, a -2 .a -3 = a -5 . Это можно записать в виде (1/aa).(1/aaa) = 1/aaaaa.
2. y -n .y -m = y -n-m .
3. a -n .a m = a m-n .
Если a + b умножаются на a — b, результат будет равен a 2 — b 2 : то есть
Результат умножения суммы или разницы двух чисел равен сумме или разнице их квадратов.
Если умножается сумма и разница двух чисел, возведённых в квадрат, результат будет равен сумме или разнице этих чисел в четвёртой степени.
Так, (a — y).(a + y) = a 2 — y 2 . (a 2 — y 2 )⋅(a 2 + y 2 ) = a 4 — y 4 . (a 4 — y 4 )⋅(a 4 + y 4 ) = a 8 — y 8 .
Деление степеней
Числа со степенями могут быть поделены, как и другие числа, путем отнимая от делимого делителя, или размещением их в форме дроби.
Таким образом a 3 b 2 делённое на b 2 , равно a 3 .
| Делимое | 9a 3 y 4 | a 2 b + 3a 2 | d⋅(a — h + y) 3 |
| Делитель | -3a 3 | a 2 | (a — h + y) 3 |
| Результат | -3y 4 | b + 3 | d |
Запись a 5 , делённого на a 3 , выглядит как $\frac$. Но это равно a 2 . В ряде чисел a +4 , a +3 , a +2 , a +1 , a 0 , a -1 , a -2 , a -3 , a -4 . любое число может быть поделено на другое, а показатель степени будет равен разнице показателей делимых чисел.
При делении степеней с одинаковым основанием их показатели вычитаются..
Так, y 3 :y 2 = y 3-2 = y 1 . То есть, $\frac= y$.
И a n+1 :a = a n+1-1 = a n . То есть $\frac = a^n$.
| Делимое | y 2m | 8a n+m | 12(b + y) n |
| Делитель | y m | 4a m | 3(b + y) 3 |
| Результат | y m | 2a n | 4(b +y) n-3 |
Или: y 2m : y m = y m 8a n+m : 4a m = 2a n 12(b + y) n : 3(b + y) 3 = 4(b +y) n-3
Правило также справедливо и для чисел с отрицательными значениями степеней. Результат деления a -5 на a -3 , равен a -2 . Также, $\frac : \frac = \frac.\frac= \frac= \frac$.
h 2 :h -1 = h 2+1 = h 3 или $h^2:\frac = h^2.\frac= h^3$
Необходимо очень хорошо усвоить умножение и деление степеней, так как такие операции очень широко применяются в алгебре.
Примеры решения примеров с дробями, содержащими числа со степенями
1. Уменьшите показатели степеней в $\frac$ Ответ: $\frac$.
2. Уменьшите показатели степеней в $\frac$. Ответ: $\frac$ или 2x.
3. Уменьшите показатели степеней a 2 /a 3 и a -3 /a -4 и приведите к общему знаменателю. a 2 .a -4 есть a -2 первый числитель. a 3 .a -3 есть a 0 = 1, второй числитель. a 3 .a -4 есть a -1 , общий числитель. После упрощения: a -2 /a -1 и 1/a -1 .
4. Уменьшите показатели степеней 2a 4 /5a 3 и 2 /a 4 и приведите к общему знаменателю. Ответ: 2a 3 /5a 7 и 5a 5 /5a 7 или 2a 3 /5a 2 и 5/5a 2 .






























